Introduction
Marginal Zone Lymphoma (MZL) includes three subtypes of indolent lymphoma: splenic MZL, extranodal MZL of mucosa-associated lymphoid tissue (MALT) and nodal MZL. The diagnosis of MZL is often made by exclusion of other lymphoma subtypes based on phenotype. One of the markers that are often involved in this discernment is CD5. The CD5 is not expressed in most of the cases of MZL, probably independently of the subtype, while it is usually expressed in different diseases such as Mantle Cell Lymphoma and Small Lymphocytic Lymphoma/Chronic Lymphocytic Leukemia. A subgroup of MZL, however, unequivocally expresses CD5, and very little is known about the characteristics and outcomes of these patients compared to their CD5 negative counterparts.
Methods
From our pathology database, we collected all the reports of indolent lymphoma containing the words "marginal zone" and/or "MALT" diagnosed or reviewed at MSKCC. We reviewed the text of the selected pathology reports to identify all cases that were unequivocally MZL and reported positivity or negativity of the CD5 marker in the lymphoma cells. From the electronic medical records, we collected all the relevant clinical information for all CD5+ MZL cases, and for a subset of CD5- MZL cases with a 1:2 match for age at diagnosis and sex. The survival and baseline characteristics analyses only included patients that were followed by our lymphoma group. We report differences between groups with the chi-squared test. Overall survival (OS) was estimated using the cumulative incidence method, and time to treatment (TTT) was estimated using the subdistribution function to adjust for semi-competing risk of death on treatment initiation. A modified proportional hazards model was used to compare the subdistribution hazard between groups, and a standard Cox proportional hazards model was used to compare the hazard of death between groups.
Results
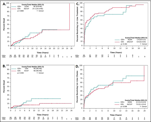
From 03/1998 to 09/2019, 64 patients were diagnosed with CD5+ MZL and followed by the Lymphoma Service at MSKCC. The control group of CD5- MZL included 137 patients that matched the CD5+ positive patients for age at diagnosis and sex. 20.3% of the CD5+ vs 14.6% of the CD5- MZL were nodal (p=0.30); Extra-nodal (EN) localizations included: GI tract - other than stomach (5.9% CD5+, 9.4% CD5-), stomach (17.7% CD5+, 17.1% CD5-), skin (7.8% CD5+, 12.0% CD5-), lung (9.8% CD5+, 12.0% CD5-), eye (9.8% CD5+, 7.7% CD5-), spleen (25.5% CD5+, 18% CD5-), multiple sites (13.7% CD5+, 10.3% CD5-), other single EN sites (9.8% CD5+, 13.7% CD5-). IPI score was low in 52% CD5+ vs 61% CD5-; low intermediate in 28% CD5+ vs 19% CD5-; high intermediate in 21% CD5+ vs 13% CD5-; no CD5+ had high IPI, while 7% of CD5- did (chi-square p=0.04). Transformation to DLBCL was similar in the 2 groups with 7% events in CD5+ and 4% in CD5- (p=0.42). Bone marrow involvement seemed to be more prevalent in the CD5+ MZL (67.5% vs 47.2% of the CD5-; p=0.04). IGHV was mutated in 80% of the CD5+ and 64% of the CD5- (p=0.24). OS analysis was performed first considering death by any cause: median OS was not reached for CD5+ MZL (95% C.I. 8.8 years - NE) and it was 27 years for CD5- (95% C.I. 14.3 years - NE). No difference was observed between CD5+ vs CD5- (p=0.9, Figure 1A). We also calculated MZL related survival, including deaths related to transformation to high grade lymphoma. No difference was observed between CD5+ vs CD5-, (p=0.3, Figure 1B). Median time to 1st treatment (including topical treatment and radiation therapy) was 1.4 years (95% C.I. 0.4 - 2.3) for CD5+ and 0.4 years (95% C.I. 0.3 - 0.9). No difference was observed between CD5+ vs CD5- (p=0.2, Figure 1C). Median time to first systemic treatment was 4.3 years (95% C.I. 1.6 - 12.9) for CD5+ and 7 years (95% C.I. 3.1 - 15.4) for CD5- MZL. No difference was observed between CD5+ vs CD5- (p=0.6, Figure 1D).
Conclusions
In this retrospective case-control analysis assessing the differences between CD5+ and CD5- MZL in terms of clinical presentation, survival, transformation occurrence and time to first topical or systemic treatment, we demonstrate that the two subgroups might have some differences in terms of bone marrow involvement but probably no difference in terms of outcome. Our sample size is small, and larger studies on a population with more events might clarify, with multivariate analysis, if these differences are real.
Joffe:Epizyme: Membership on an entity's Board of Directors or advisory committees; AstraZeneca: Membership on an entity's Board of Directors or advisory committees. Palomba:Pharmacyclics: Honoraria; Celgene: Honoraria; Merck: Honoraria; Novartis: Honoraria; Regeneron: Research Funding; Juno Therapeutics, a Bristol-Meyers Squibb Company: Honoraria, Research Funding; Genentech: Research Funding. Noy:Rafael Pharma: Research Funding; Janssen: Consultancy; Pharmacyclics: Consultancy; Medscape: Consultancy; Targeted Oncology: Consultancy; Morphosys: Consultancy; Pharmacyclics: Research Funding; NIH: Research Funding. Matasar:Daiichi Sankyo: Consultancy; Immunovaccine Technologies: Honoraria, Research Funding; Pharmacyclics: Honoraria, Research Funding; Janssen: Honoraria, Research Funding; IGM Biosciences: Research Funding; GlaxoSmithKline: Honoraria, Research Funding; Rocket Medical: Consultancy, Research Funding; Seattle Genetics: Consultancy, Honoraria, Research Funding; Genentech, Inc.: Consultancy, Honoraria, Research Funding; Merck: Consultancy; Bayer: Consultancy, Honoraria, Research Funding; Teva: Consultancy; F. Hoffmann-La Roche Ltd: Consultancy, Honoraria, Research Funding; Juno Therapeutics: Consultancy; Takeda: Consultancy, Honoraria. Hamlin:J&J Pharmaceuticals: Research Funding; Portola Pharmaceutics: Consultancy; Portola: Research Funding; Molecular Templates: Research Funding; Incyte: Research Funding; Celgene: Consultancy; Karyopharm: Consultancy; Juno Therapeutics: Consultancy. Kumar:Kite Pharmaceuticals: Honoraria, Other: Honoraria for Advisory Board; Astra Zeneca: Honoraria, Other: Honoraria for Advisory Board; Celgene: Honoraria, Other: Honoraria for Advisory Board; Seattle Genetics: Research Funding; Pharmacyclics: Research Funding; Celgene: Research Funding; Adaptive Biotechnologies,: Research Funding; AbbVie: Research Funding. Moskowitz:Seattle Genetics: Consultancy; Miragen Therapeutics: Consultancy; Imbrium Therapeutics, L.P.: Consultancy; Merck: Research Funding; Bristol-Myers Squibb: Research Funding; Incyte: Research Funding; Seattle Genetics: Research Funding; Merck: Consultancy. Falchi:Genmab: Research Funding; Roche: Research Funding. von Keudell:Merck: Consultancy, Honoraria. Straus:Targeted Oncology: Consultancy, Speakers Bureau; Seattle Genetics: Consultancy, Membership on an entity's Board of Directors or advisory committees; ASH: Other: Conference in December 2019 on HL to other physicians during ASH; Elsevier: Membership on an entity's Board of Directors or advisory committees, Other: CME writer; OncLive: Speakers Bureau; Takeda Pharmaceuticals: Research Funding, Speakers Bureau; NY Lymphoma Rounds: Consultancy; Imedex, Inc.: Speakers Bureau; Karyopharm Therapeutics: Membership on an entity's Board of Directors or advisory committees. Horwitz:Aileron: Consultancy, Research Funding; ADCT Therapeutics: Consultancy, Research Funding; Celgene: Consultancy, Research Funding; Forty Seven: Consultancy, Research Funding; Infinity/Verastem: Research Funding; Kyowa Hakka Kirin: Consultancy, Research Funding; Millenium/Takeda: Consultancy, Research Funding; Seattle Genetics: Consultancy, Research Funding; Trillium: Consultancy, Research Funding; Corvus: Consultancy; Innate Pharma: Consultancy; Mundipharma: Consultancy; Portola: Consultancy, Research Funding; Beigene: Consultancy; C4 Therapeutics: Consultancy; Daiichi Sankyo: Research Funding; GlaxoSmithKline: Consultancy; Janssen: Consultancy; Kura Oncology: Consultancy; Miragen: Consultancy; Myeloid Therapeutics: Consultancy; Verastem: Consultancy, Research Funding; Vividion Therapeutics: Consultancy; Affirmed: Consultancy; ASTEX: Consultancy. Dogan:Takeda: Consultancy; Roche: Consultancy, Research Funding; Physicians Education Resource: Consultancy; Corvus Pharmaceuticals: Consultancy; Seattle Genetics: Consultancy; EUSA Pharma: Consultancy; AbbVie: Consultancy; National Cancer Institute: Research Funding. Zelenetz:BeiGene: Membership on an entity's Board of Directors or advisory committees; Adaptive Biotechnology: Consultancy; Novartis: Consultancy; Amgen: Consultancy; Janssen: Consultancy; Celgene: Consultancy; Gilead: Consultancy; Genentech/Roche: Consultancy; Gilead: Research Funding; Roche: Research Funding; Celgene: Research Funding; Sandoz: Research Funding; MorphoSys: Research Funding; MEI Pharma: Research Funding.
Author notes
Asterisk with author names denotes non-ASH members.

This feature is available to Subscribers Only
Sign In or Create an Account Close Modal